光譜干擾是指待測元素分析線的信號和干擾物產生的輻射信號分辨不開的現象;非光譜千擾包括物理干擾、化學干擾和電離干擾。
光譜干擾
原子發射光譜儀工作時,由于激發光源的能量高,在200~1000nm波長范圍會產生10萬~1000萬條譜線,平均在0. 1 mm寬度就分布上百條譜線,因而幾乎每個元素的分析線都會受到不同程度的譜線干擾。當使用ICP光譜儀時,比其它光源會出現更強的譜線重疊干擾,而成為ICP-AES中的主要干擾。
光譜干擾可分為譜線重疊干擾和背景干擾兩類。
1、譜線重疊干擾
它是指被測定元素的分析線上被另外一個元素的譜線重疊或部分重疊,分為兩種情況:
(1)譜線直接重疊即干擾線與分析線完全重合。
此時可用干擾系數法進行校正,它是指千擾元素所造成分析元素濃度的增加與干擾元素濃度的比值。
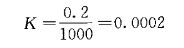
如測定地質樣品中的Cr元素,當用Cr的分析線205.552nm進行測定時,大量Fe的存在會產生干擾,若Fe的質量濃度為1000mg/L時造成Cr的質量濃度增加0.2 mg/ L,此時Fe對Cr的干擾系數K為:

被測元素分析受干擾時測得的濃度為表觀濃度cs,其用干擾系數校正后,即得真實濃度cT:
CT=CS-KcD
式中,CD為干擾元素的濃度。
使用干擾系數法應滿足以下幾點:
①必須已知干擾元素的濃度,并在被測元素分析濃度范圍內,保持為常數。
②干擾系數K與光譜儀的分辨能力相關,使用不同的儀器,測得K值也不相同,文獻資料中的K值只作為參考,多數情況應自行測定。
在ICP光譜分析中,對常見元素分析線產生的干擾線波長以及常見元素干擾系數,可從ICP光譜分析專著中查閱。
(2)復雜譜線重疊分析線和兩條或兩條以上的干擾線重疊或部分重疊。此時若使用干擾系數法會得到錯誤結果,因此時干擾系數K不是常數,需使用多譜線擬合程序來進行校正。
在現代原子發射光譜儀中,由于高分辨技術的應用,減少了光譜干擾,特別是中階梯光柵和全息光柵的廣泛應用,大大降低了雜散光,提高了色散率,有效地消除和減少了光譜干擾。
2、背景干擾
它是指有連續發射形成的帶狀光譜疊加在分析線上而形成的干擾。背景干擾分為四種情況,如圖所示。

光譜背景干擾的幾種情況
(a)簡單平滑光譜背景;(b)斜坡背景;(C)彎曲背景;(d)復雜結構背景
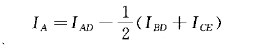
(1)簡單平滑光譜背景分析線譜峰被平滑背景疊加后,平行向上移動,可采用離峰單點校正,即從含背景的峰值強度中扣除背景強度值:
IA=IAB=ICB
(2)斜坡背景分析左右背景強度隨波長發生漸變,但變化是線性的,可用離峰兩點校正,即在譜峰兩側等距離處,測定此兩點背景強度,取其平均值,再從含背景的峰值強度中扣除背景平均值:

(3)彎曲背景分析線位于與其共存元素高強度譜線的一側,形成漸變彎曲的斜坡背景,如果分析線強度較大,則仍可按線性斜坡背景的離峰兩點校正方法進行,若分析線強度較低,則此法校正的誤差較大,會給出不正確的測定數據。對這種光譜背景校正,用空白背景校正法,即用不含待測元素的溶液測出空白對應的譜線強度,再用被測元素測得的譜線強度(表觀強度)減去空白對應的譜線強度,即完成校正。
(4)復雜結構背景這種光譜背景通常由分子光譜譜帶或譜線混合疊加而成。對這種背景采用空白溶液校正法是最合適的。
背景于擾的存在會影響分析結果的準確度,應予以扣除,但采用的扣除方法又會引入附加的誤差,因而應依據背景產生的原因盡量減弱或抑制背景,當然最好應選用不受干擾的分析線再進行譜線強度測定。
非光譜干擾
在原子發射光譜分析中,非光譜干擾有物理干擾、化學干擾和電離干擾。
1、物理干擾
分析試液物理特性,如黏度、密度和表面張力的差異,影響ICP霧化效率,引起譜線強度的變化,稱物理干擾或物性干擾,它又分為酸效應和鹽效應兩類:
(1)酸效應在ICP分析中,樣品需經酸溶解制成試樣溶液,由于酸的類型和濃度的不同,會產生對譜線強度的影響。通常隨酸度增加會顯著降低譜線強度,無機酸對譜線強度的影響會按下述順序遞增:HCI
酸效應是以在酸存在時的譜線強度與無酸存在時(去離子水溶液)譜線強度的比值來表示的(I酸/I水)。
(2)鹽效應當試樣濃度增加(含鹽量增加),其黏度、表面張力等物性均會增大,從而影響進樣量,霧化效率和氣溶膠傳輸效率降低,并進而影響分析線的譜線強度的降低。
消除物理干擾的根本方法是采用基體匹配法,即保持標準溶液和分析試樣溶液及空白溶液中的酸度和鹽含量相同。
2、化學干擾
化學干擾又稱“溶劑蒸發效應”,是原子吸收法和火焰光度法普遍存在的干擾效應。如測Ca時,磷酸根或Al會產生干擾,此時應加入釋放劑來降低化學干擾,在ICP光譜分析中,其影響較小,但仍存在。
3、電離干擾
對易電離的元素,其揮發進入火焰中,隨電離的發生,使電子密度增加,會使電離平衡MM++e-向中性原子方向偏移,也會使譜線強度下降,因而在火焰光度法中,電離干擾是很嚴重的。在ICP光譜分析中,電離干擾要弱許多,但仍存在。
電離干擾對鈉元素光譜的影響有如下規律:
(1)電離干擾對Na的離子線會降低譜線強度,對Na原子線會增強譜線強度。
(2)提高對炬焰的觀測高度達15mm時,Na原子濃度高達1700ug/mL時,可降低Na對Ca(422.673nm)譜線的電離干擾。但在一般情況下,提高觀測高度,電離干擾會增強,這可能是由于在較高觀測高度,ICP炬焰的溫度會降低而使譜線強度下降。
為消除電離干擾,可采用基體匹配法,或在定量分析時,使用標準加入法。
基體效應
基體效應是指樣品中主要成分發生變化時,對分析線譜線強度和光譜背景的影響,它也是光譜分析中干擾效應的一種。
基體效應的產生,實質上是各種干擾效應的總和。基體效應主要是非光譜干擾,但也包括光譜干擾中的背景干擾和激發于擾。
激發干擾是指由于樣品成分變化,導致ICP光源溫度、電子密度、原子及離子在光源中分布發生變化,而引起分析線譜線強度和光譜背景變化的現象。
由上述可知基體效應是多種干擾效應產生綜合作用的結果。
基體效應與干擾元素的種類、含量(濃度)相關,也受ICP光譜分析條件,如高頻功率、載氣流量,觀測高度的影響。
基體效應可用存在基體效應時分析線的譜線強度IB與無基體(空白)效應存在時分析線的譜線強度INB的比值B來表示。
B=IB/INB
當B>1時,基體效應增強,B<1時,基體效應被抑制。
為了降低光譜分析時基體效應的影響,可采用以下幾種方法:
(1)采用穩健性(robust)分析條件又稱強化條件。在ICP光譜分析中,應采用較高的高頻功率、較低的載氣流量、適中的觀測高度,可以抑制基體效應。
(2)采用基體匹配法在配制標準溶液系列時,要加入與分析樣品溶液相同量的基體成分,使標準溶液系列的主要成分與分析樣品溶液相匹配。
(3)標準加入法當采用基體匹配法時,加入的基體成分要比分析試樣的純度高1.2個數量級,有時難于獲得,此時可采用標準加入法,而無須使用基體成分材料。
(4)化學分離法待分離出基體成分后,再對樣品溶液進行ICP光譜分析。